![]() |
The Theory of Biblical Patterns |
No mortal could have put
all of the patterns in the Holy Bible without divine intervention. | math on 37 patterns scholastically verified | Pro Bible website:
![]() |
| electrons | Amino Acid | formula | carbon (6) | hydrogen (1) | nitrogen (7) | oxygen (8) | sulfer (16) | per atom | electrons |
|---|---|---|---|---|---|---|---|---|---|
| 40 | Glycine | C2H5NO2 | (6 * 2) | (1 * 5) | (7 * 1) | (8 * 2) | 12 + 5 + 7 + 16 | 40 | |
| 48 | Alanine | C3H7NO2 | (6 * 3) | (1 * 7) | (7 * 1) | (8 * 2) | 18 + 7 + 7 + 16 | 48 | |
| 56 | Serine | C3H7NO3 | (6 * 3) | (1 * 7) | (7 * 1) | (8 * 3) | 18 + 7 + 7 + 24 | 56 | |
| 62 | Leucine | C6H13NO2 | (6 * 6) | (1 * 13) | (7 * 1) | (8 * 2) | 36 + 13 + 7 + 16 | 62 | |
| 62 | Proline | C5H9NO2 | (6 * 5) | (1 * 9) | (7 * 1) | (8 * 2) | 30 + 9 + 7 + 16 | 62 | |
| 64 | Cysteine | C3H7NO2S | (6 * 3) | (1 * 7) | (7 * 1) | (8 * 2) | (16 * 1) | 18 + 7 + 7 + 16 + 16 | 64 |
| 64 | Threonine | C4H9NO3 | (6 * 4) | (1 * 9) | (7 * 1) | (8 * 3) | 24 + 9 + 7 + 24 | 64 | |
| 64 | Valine | C5H11NO2 | (6 * 5) | (1 * 11) | (7 * 1) | (8 * 2) | 30 + 11 + 7 + 16 | 64 | |
| 70 | Asparagine | C4H8N2O3 | (6 * 4) | (1 * 8) | (7 * 2) | (8 * 3) | 24 + 8 + 14 + 24 | 70 | |
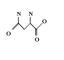
| 70 | Aspartic acid | C4H7NO4 | (6 * 4) | (1 * 7) | (7 * 1) | (8 * 4) | 24 + 7 + 7 + 32 | 70 | |
| 72 | Isoleucine | C6H13NO2 | (6 * 6) | (1 * 13) | (7 * 1) | (8 * 2) | 36 + 13 + 7 + 16 | 72 | |
| 78 | Glutamic acid | C5H9NO4 | (6 * 5) | (1 * 9) | (7 * 1) | (8 * 4) | 30 + 9 + 7 + 32 | 78 | |
| 78 | Glutamine | C5H10N2O3 | (6 * 5) | (1 * 10) | (7 * 2) | (8 * 3) | 30 + 10 + 14 + 24 | 78 | |
| 80 | Lysine | C6H14N2O2 | (6 * 6) | (1 * 14) | (7 * 2) | (8 * 2) | 36 + 14 + 14 + 16 | 80 | |
| 80 | Methionine | C5H11NO2S | (6 * 5) | (1 * 11) | (7 * 1) | (8 * 2) | (16 * 1) | 30 + 11 + 7 + 16 + 16 | 80 |
| 82 | Histidine | C6H9N3O2 | (6 * 6) | (1 * 9) | (7 * 3) | (8 * 2) | 36 + 9 + 21 + 16 | 82 | |
| 88 | Phenylalanine | C9H11NO2 | (6 * 9) | (1 * 11) | (7 * 1) | (8 * 2) | 54 + 11 + 7 + 16 | 88 | |
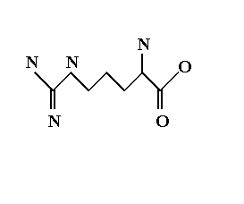
| 94 | Arginine | C6H14N4O2 | (6 * 6) | (1 * 14) | (7 * 4) | (8 * 2) | 36 + 14 + 28 + 16 | 94 | |
| 96 | Tyrosine | C9H11NO3 | (6 * 9) | (1 * 11) | (7 * 1) | (8 * 3) | 54 + 11 + 7 + 24 | 96 | |
| 108 | Tryptophan | C11H12N2O2 | (6 * 11) | (1 * 12) | (7 * 2) | (8 * 2) | 66 + 12 + 14 + 16 | 108 |
| count | div by 18 | electrons | total | factors |
|---|---|---|---|---|
| 1 | 40 | 40 | 1 2 4 5 8 10 20 40 | |
| 2 | 40 48 | 88 | 1 2 4 8 11 22 44 88 | |
| 3 | 1 | 40 48 56 | 144 | 1 2 3 4 6 8 9 12 16 18 24 36 48 72 144 |
| 4 | 40 48 56 62 | 206 | 1 2 103 206 | |
| 5 | 40 48 56 62 62 | 268 | 1 2 4 67 134 268 | |
| 6 | 40 48 56 62 62 64 | 332 | 1 2 4 83 166 332 | |
| 7 | 2 | 40 48 56 62 62 64 64 | 396 | 1 2 3 4 6 9 11 12 18 22 33 36 44 66 99 132 198 396 |
| 8 | 40 48 56 62 62 64 64 64 | 460 | 1 2 4 5 10 20 23 46 92 115 230 460 | |
| 9 | 40 48 56 62 62 64 64 64 70 | 530 | 1 2 5 10 53 106 265 530 | |
| 10 | 40 48 56 62 62 64 64 64 70 70 | 600 | 1 2 3 4 5 6 8 10 12 15 20 24 25 30 40 50 60 75 100 120 150 200 300 600 | |
| 11 | 40 48 56 62 62 64 64 64 70 70 72 | 672 | 1 2 3 4 6 7 8 12 14 16 21 24 28 32 42 48 56 84 96 112 168 224 336 672 | |
| 12 | 40 48 56 62 62 64 64 64 70 70 72 78 | 750 | 1 2 3 5 6 10 15 25 30 50 75 125 150 250 375 750 | |
| 13 | 3 | 40 48 56 62 62 64 64 64 70 70 72 78 78 | 828 | 1 2 3 4 6 9 12 18 23 36 46 69 92 138 207 276 414 828 |
| 14 | 40 48 56 62 62 64 64 64 70 70 72 78 78 80 | 908 | 1 2 4 227 454 908 | |
| 15 | 40 48 56 62 62 64 64 64 70 70 72 78 78 80 80 | 988 | 1 2 4 13 19 26 38 52 76 247 494 988 | |
| 16 | 40 48 56 62 62 64 64 64 70 70 72 78 78 80 80 82 | 1070 | 1 2 5 10 107 214 535 1070 | |
| 17 | 40 48 56 62 62 64 64 64 70 70 72 78 78 80 80 82 88 | 1158 | 1 2 3 6 193 386 579 1158 | |
| 18 | 40 48 56 62 62 64 64 64 70 70 72 78 78 80 80 82 88 94 | 1252 | 1 2 4 313 626 1252 | |
| 19 | 40 48 56 62 62 64 64 64 70 70 72 78 78 80 80 82 88 94 96 | 1348 | 1 2 4 337 674 1348 | |
| 20 | 40 48 56 62 62 64 64 64 70 70 72 78 78 80 80 82 88 94 96 108 | 1456 | 1 2 4 7 8 13 14 16 26 28 52 56 91 104 112 182 208 364 728 1456 | |
| 21 | 48 | 48 | 1 2 3 4 6 8 12 16 24 48 | |
| 22 | 48 56 | 104 | 1 2 4 8 13 26 52 104 | |
| 23 | 48 56 62 | 166 | 1 2 83 166 | |
| 24 | 48 56 62 62 | 228 | 1 2 3 4 6 12 19 38 57 76 114 228 | |
| 25 | 48 56 62 62 64 | 292 | 1 2 4 73 146 292 | |
| 26 | 48 56 62 62 64 64 | 356 | 1 2 4 89 178 356 | |
| 27 | 48 56 62 62 64 64 64 | 420 | 1 2 3 4 5 6 7 10 12 14 15 20 21 28 30 35 42 60 70 84 105 140 210 420 | |
| 28 | 48 56 62 62 64 64 64 70 | 490 | 1 2 5 7 10 14 35 49 70 98 245 490 | |
| 29 | 48 56 62 62 64 64 64 70 70 | 560 | 1 2 4 5 7 8 10 14 16 20 28 35 40 56 70 80 112 140 280 560 | |
| 30 | 48 56 62 62 64 64 64 70 70 72 | 632 | 1 2 4 8 79 158 316 632 | |
| 31 | 48 56 62 62 64 64 64 70 70 72 78 | 710 | 1 2 5 10 71 142 355 710 | |
| 32 | 48 56 62 62 64 64 64 70 70 72 78 78 | 788 | 1 2 4 197 394 788 | |
| 33 | 48 56 62 62 64 64 64 70 70 72 78 78 80 | 868 | 1 2 4 7 14 28 31 62 124 217 434 868 | |
| 34 | 48 56 62 62 64 64 64 70 70 72 78 78 80 80 | 948 | 1 2 3 4 6 12 79 158 237 316 474 948 | |
| 35 | 48 56 62 62 64 64 64 70 70 72 78 78 80 80 82 | 1030 | 1 2 5 10 103 206 515 1030 | |
| 36 | 48 56 62 62 64 64 64 70 70 72 78 78 80 80 82 88 | 1118 | 1 2 13 26 43 86 559 1118 | |
| 37 | 48 56 62 62 64 64 64 70 70 72 78 78 80 80 82 88 94 | 1212 | 1 2 3 4 6 12 101 202 303 404 606 1212 | |
| 38 | 48 56 62 62 64 64 64 70 70 72 78 78 80 80 82 88 94 96 | 1308 | 1 2 3 4 6 12 109 218 327 436 654 1308 | |
| 39 | 48 56 62 62 64 64 64 70 70 72 78 78 80 80 82 88 94 96 108 | 1416 | 1 2 3 4 6 8 12 24 59 118 177 236 354 472 708 1416 | |
| 40 | 56 | 56 | 1 2 4 7 8 14 28 56 | |
| 41 | 56 62 | 118 | 1 2 59 118 | |
| 42 | 4 | 56 62 62 | 180 | 1 2 3 4 5 6 9 10 12 15 18 20 30 36 45 60 90 180 |
| 43 | 56 62 62 64 | 244 | 1 2 4 61 122 244 | |
| 44 | 56 62 62 64 64 | 308 | 1 2 4 7 11 14 22 28 44 77 154 308 | |
| 45 | 56 62 62 64 64 64 | 372 | 1 2 3 4 6 12 31 62 93 124 186 372 | |
| 46 | 56 62 62 64 64 64 70 | 442 | 1 2 13 17 26 34 221 442 | |
| 47 | 56 62 62 64 64 64 70 70 | 512 | 1 2 4 8 16 32 64 128 256 512 | |
| 48 | 56 62 62 64 64 64 70 70 72 | 584 | 1 2 4 8 73 146 292 584 | |
| 49 | 56 62 62 64 64 64 70 70 72 78 | 662 | 1 2 331 662 | |
| 50 | 56 62 62 64 64 64 70 70 72 78 78 | 740 | 1 2 4 5 10 20 37 74 148 185 370 740 | |
| 51 | 56 62 62 64 64 64 70 70 72 78 78 80 | 820 | 1 2 4 5 10 20 41 82 164 205 410 820 | |
| 52 | 5 | 56 62 62 64 64 64 70 70 72 78 78 80 80 | 900 | 1 2 3 4 5 6 9 10 12 15 18 20 25 30 36 45 50 60 75 90 100 150 180 225 300 450 900 |
| 53 | 56 62 62 64 64 64 70 70 72 78 78 80 80 82 | 982 | 1 2 491 982 | |
| 54 | 56 62 62 64 64 64 70 70 72 78 78 80 80 82 88 | 1070 | 1 2 5 10 107 214 535 1070 | |
| 55 | 56 62 62 64 64 64 70 70 72 78 78 80 80 82 88 94 | 1164 | 1 2 3 4 6 12 97 194 291 388 582 1164 | |
| 56 | 6 | 56 62 62 64 64 64 70 70 72 78 78 80 80 82 88 94 96 | 1260 | 1 2 3 4 5 6 7 9 10 12 14 15 18 20 21 28 30 35 36 42 45 60 63 70 84 90 105 126 140 180 210 252 315 420 630 1260 |
| 57 | 7 | 56 62 62 64 64 64 70 70 72 78 78 80 80 82 88 94 96 108 | 1368 | 1 2 3 4 6 8 9 12 18 19 24 36 38 57 72 76 114 152 171 228 342 456 684 1368 |
| 58 | 62 | 62 | 1 2 31 62 | |
| 59 | 62 62 | 124 | 1 2 4 31 62 124 | |
| 60 | 62 62 64 | 188 | 1 2 4 47 94 188 | |
| 61 | 8 | 62 62 64 64 | 252 | 1 2 3 4 6 7 9 12 14 18 21 28 36 42 63 84 126 252 |
| 62 | 62 62 64 64 64 | 316 | 1 2 4 79 158 316 | |
| 63 | 62 62 64 64 64 70 | 386 | 1 2 193 386 | |
| 64 | 62 62 64 64 64 70 70 | 456 | 1 2 3 4 6 8 12 19 24 38 57 76 114 152 228 456 | |
| 65 | 62 62 64 64 64 70 70 72 | 528 | 1 2 3 4 6 8 11 12 16 22 24 33 44 48 66 88 132 176 264 528 | |
| 66 | 62 62 64 64 64 70 70 72 78 | 606 | 1 2 3 6 101 202 303 606 | |
| 67 | 9 | 62 62 64 64 64 70 70 72 78 78 | 684 | 1 2 3 4 6 9 12 18 19 36 38 57 76 114 171 228 342 684 |
| 68 | 62 62 64 64 64 70 70 72 78 78 80 | 764 | 1 2 4 191 382 764 | |
| 69 | 62 62 64 64 64 70 70 72 78 78 80 80 | 844 | 1 2 4 211 422 844 | |
| 70 | 62 62 64 64 64 70 70 72 78 78 80 80 82 | 926 | 1 2 463 926 | |
| 71 | 62 62 64 64 64 70 70 72 78 78 80 80 82 88 | 1014 | 1 2 3 6 13 26 39 78 169 338 507 1014 | |
| 72 | 62 62 64 64 64 70 70 72 78 78 80 80 82 88 94 | 1108 | 1 2 4 277 554 1108 | |
| 73 | 62 62 64 64 64 70 70 72 78 78 80 80 82 88 94 96 | 1204 | 1 2 4 7 14 28 43 86 172 301 602 1204 | |
| 74 | 62 62 64 64 64 70 70 72 78 78 80 80 82 88 94 96 108 | 1312 | 1 2 4 8 16 32 41 82 164 328 656 1312 | |
| 75 | 62 | 62 | 1 2 31 62 | |
| 76 | 10 | 62 64 | 126 | 1 2 3 6 7 9 14 18 21 42 63 126 |
| 77 | 62 64 64 | 190 | 1 2 5 10 19 38 95 190 | |
| 78 | 62 64 64 64 | 254 | 1 2 127 254 | |
| 79 | 11 | 62 64 64 64 70 | 324 | 1 2 3 4 6 9 12 18 27 36 54 81 108 162 324 |
| 80 | 62 64 64 64 70 70 | 394 | 1 2 197 394 | |
| 81 | 62 64 64 64 70 70 72 | 466 | 1 2 233 466 | |
| 82 | 62 64 64 64 70 70 72 78 | 544 | 1 2 4 8 16 17 32 34 68 136 272 544 | |
| 83 | 62 64 64 64 70 70 72 78 78 | 622 | 1 2 311 622 | |
| 84 | 12 | 62 64 64 64 70 70 72 78 78 80 | 702 | 1 2 3 6 9 13 18 26 27 39 54 78 117 234 351 702 |
| 85 | 62 64 64 64 70 70 72 78 78 80 80 | 782 | 1 2 17 23 34 46 391 782 | |
| 86 | 13 | 62 64 64 64 70 70 72 78 78 80 80 82 | 864 | 1 2 3 4 6 8 9 12 16 18 24 27 32 36 48 54 72 96 108 144 216 288 432 864 |
| 87 | 62 64 64 64 70 70 72 78 78 80 80 82 88 | 952 | 1 2 4 7 8 14 17 28 34 56 68 119 136 238 476 952 | |
| 88 | 62 64 64 64 70 70 72 78 78 80 80 82 88 94 | 1046 | 1 2 523 1046 | |
| 89 | 62 64 64 64 70 70 72 78 78 80 80 82 88 94 96 | 1142 | 1 2 571 1142 | |
| 90 | 62 64 64 64 70 70 72 78 78 80 80 82 88 94 96 108 | 1250 | 1 2 5 10 25 50 125 250 625 1250 | |
| 91 | 64 | 64 | 1 2 4 8 16 32 64 | |
| 92 | 64 64 | 128 | 1 2 4 8 16 32 64 128 | |
| 93 | 64 64 64 | 192 | 1 2 3 4 6 8 12 16 24 32 48 64 96 192 | |
| 94 | 64 64 64 70 | 262 | 1 2 131 262 | |
| 95 | 64 64 64 70 70 | 332 | 1 2 4 83 166 332 | |
| 96 | 64 64 64 70 70 72 | 404 | 1 2 4 101 202 404 | |
| 97 | 64 64 64 70 70 72 78 | 482 | 1 2 241 482 | |
| 98 | 64 64 64 70 70 72 78 78 | 560 | 1 2 4 5 7 8 10 14 16 20 28 35 40 56 70 80 112 140 280 560 | |
| 99 | 64 64 64 70 70 72 78 78 80 | 640 | 1 2 4 5 8 10 16 20 32 40 64 80 128 160 320 640 | |
| 100 | 14 | 64 64 64 70 70 72 78 78 80 80 | 720 | 1 2 3 4 5 6 8 9 10 12 15 16 18 20 24 30 36 40 45 48 60 72 80 90 120 144 180 240 360 720 |
| 101 | 64 64 64 70 70 72 78 78 80 80 82 | 802 | 1 2 401 802 | |
| 102 | 64 64 64 70 70 72 78 78 80 80 82 88 | 890 | 1 2 5 10 89 178 445 890 | |
| 103 | 64 64 64 70 70 72 78 78 80 80 82 88 94 | 984 | 1 2 3 4 6 8 12 24 41 82 123 164 246 328 492 984 | |
| 104 | 15 | 64 64 64 70 70 72 78 78 80 80 82 88 94 96 | 1080 | 1 2 3 4 5 6 8 9 10 12 15 18 20 24 27 30 36 40 45 54 60 72 90 108 120 135 180 216 270 360 540 1080 |
| 105 | 16 | 64 64 64 70 70 72 78 78 80 80 82 88 94 96 108 | 1188 | 1 2 3 4 6 9 11 12 18 22 27 33 36 44 54 66 99 108 132 198 297 396 594 1188 |
| 106 | 64 | 64 | 1 2 4 8 16 32 64 | |
| 107 | 64 64 | 128 | 1 2 4 8 16 32 64 128 | |
| 108 | 17 | 64 64 70 | 198 | 1 2 3 6 9 11 18 22 33 66 99 198 |
| 109 | 64 64 70 70 | 268 | 1 2 4 67 134 268 | |
| 110 | 64 64 70 70 72 | 340 | 1 2 4 5 10 17 20 34 68 85 170 340 | |
| 111 | 64 64 70 70 72 78 | 418 | 1 2 11 19 22 38 209 418 | |
| 112 | 64 64 70 70 72 78 78 | 496 | 1 2 4 8 16 31 62 124 248 496 | |
| 113 | 18 | 64 64 70 70 72 78 78 80 | 576 | 1 2 3 4 6 8 9 12 16 18 24 32 36 48 64 72 96 144 192 288 576 |
| 114 | 64 64 70 70 72 78 78 80 80 | 656 | 1 2 4 8 16 41 82 164 328 656 | |
| 115 | 19 | 64 64 70 70 72 78 78 80 80 82 | 738 | 1 2 3 6 9 18 41 82 123 246 369 738 |
| 116 | 64 64 70 70 72 78 78 80 80 82 88 | 826 | 1 2 7 14 59 118 413 826 | |
| 117 | 64 64 70 70 72 78 78 80 80 82 88 94 | 920 | 1 2 4 5 8 10 20 23 40 46 92 115 184 230 460 920 | |
| 118 | 64 64 70 70 72 78 78 80 80 82 88 94 96 | 1016 | 1 2 4 8 127 254 508 1016 | |
| 119 | 64 64 70 70 72 78 78 80 80 82 88 94 96 108 | 1124 | 1 2 4 281 562 1124 | |
| 120 | 64 | 64 | 1 2 4 8 16 32 64 | |
| 121 | 64 70 | 134 | 1 2 67 134 | |
| 122 | 64 70 70 | 204 | 1 2 3 4 6 12 17 34 51 68 102 204 | |
| 123 | 64 70 70 72 | 276 | 1 2 3 4 6 12 23 46 69 92 138 276 | |
| 124 | 64 70 70 72 78 | 354 | 1 2 3 6 59 118 177 354 | |
| 125 | 20 | 64 70 70 72 78 78 | 432 | 1 2 3 4 6 8 9 12 16 18 24 27 36 48 54 72 108 144 216 432 |
| 126 | 64 70 70 72 78 78 80 | 512 | 1 2 4 8 16 32 64 128 256 512 | |
| 127 | 64 70 70 72 78 78 80 80 | 592 | 1 2 4 8 16 37 74 148 296 592 | |
| 128 | 64 70 70 72 78 78 80 80 82 | 674 | 1 2 337 674 | |
| 129 | 64 70 70 72 78 78 80 80 82 88 | 762 | 1 2 3 6 127 254 381 762 | |
| 130 | 64 70 70 72 78 78 80 80 82 88 94 | 856 | 1 2 4 8 107 214 428 856 | |
| 131 | 64 70 70 72 78 78 80 80 82 88 94 96 | 952 | 1 2 4 7 8 14 17 28 34 56 68 119 136 238 476 952 | |
| 132 | 64 70 70 72 78 78 80 80 82 88 94 96 108 | 1060 | 1 2 4 5 10 20 53 106 212 265 530 1060 | |
| 133 | 70 | 70 | 1 2 5 7 10 14 35 70 | |
| 134 | 70 70 | 140 | 1 2 4 5 7 10 14 20 28 35 70 140 | |
| 135 | 70 70 72 | 212 | 1 2 4 53 106 212 | |
| 136 | 70 70 72 78 | 290 | 1 2 5 10 29 58 145 290 | |
| 137 | 70 70 72 78 78 | 368 | 1 2 4 8 16 23 46 92 184 368 | |
| 138 | 70 70 72 78 78 80 | 448 | 1 2 4 7 8 14 16 28 32 56 64 112 224 448 | |
| 139 | 70 70 72 78 78 80 80 | 528 | 1 2 3 4 6 8 11 12 16 22 24 33 44 48 66 88 132 176 264 528 | |
| 140 | 70 70 72 78 78 80 80 82 | 610 | 1 2 5 10 61 122 305 610 | |
| 141 | 70 70 72 78 78 80 80 82 88 | 698 | 1 2 349 698 | |
| 142 | 21 | 70 70 72 78 78 80 80 82 88 94 | 792 | 1 2 3 4 6 8 9 11 12 18 22 24 33 36 44 66 72 88 99 132 198 264 396 792 |
| 143 | 70 70 72 78 78 80 80 82 88 94 96 | 888 | 1 2 3 4 6 8 12 24 37 74 111 148 222 296 444 888 | |
| 144 | 70 70 72 78 78 80 80 82 88 94 96 108 | 996 | 1 2 3 4 6 12 83 166 249 332 498 996 | |
| 145 | 70 | 70 | 1 2 5 7 10 14 35 70 | |
| 146 | 70 72 | 142 | 1 2 71 142 | |
| 147 | 70 72 78 | 220 | 1 2 4 5 10 11 20 22 44 55 110 220 | |
| 148 | 70 72 78 78 | 298 | 1 2 149 298 | |
| 149 | 22 | 70 72 78 78 80 | 378 | 1 2 3 6 7 9 14 18 21 27 42 54 63 126 189 378 |
| 150 | 70 72 78 78 80 80 | 458 | 1 2 229 458 | |
| 151 | 23 | 70 72 78 78 80 80 82 | 540 | 1 2 3 4 5 6 9 10 12 15 18 20 27 30 36 45 54 60 90 108 135 180 270 540 |
| 152 | 70 72 78 78 80 80 82 88 | 628 | 1 2 4 157 314 628 | |
| 153 | 70 72 78 78 80 80 82 88 94 | 722 | 1 2 19 38 361 722 | |
| 154 | 70 72 78 78 80 80 82 88 94 96 | 818 | 1 2 409 818 | |
| 155 | 70 72 78 78 80 80 82 88 94 96 108 | 926 | 1 2 463 926 | |
| 156 | 24 | 72 | 72 | 1 2 3 4 6 8 9 12 18 24 36 72 |
| 157 | 72 78 | 150 | 1 2 3 5 6 10 15 25 30 50 75 150 | |
| 158 | 72 78 78 | 228 | 1 2 3 4 6 12 19 38 57 76 114 228 | |
| 159 | 72 78 78 80 | 308 | 1 2 4 7 11 14 22 28 44 77 154 308 | |
| 160 | 72 78 78 80 80 | 388 | 1 2 4 97 194 388 | |
| 161 | 72 78 78 80 80 82 | 470 | 1 2 5 10 47 94 235 470 | |
| 162 | 25 | 72 78 78 80 80 82 88 | 558 | 1 2 3 6 9 18 31 62 93 186 279 558 |
| 163 | 72 78 78 80 80 82 88 94 | 652 | 1 2 4 163 326 652 | |
| 164 | 72 78 78 80 80 82 88 94 96 | 748 | 1 2 4 11 17 22 34 44 68 187 374 748 | |
| 165 | 72 78 78 80 80 82 88 94 96 108 | 856 | 1 2 4 8 107 214 428 856 | |
| 166 | 78 | 78 | 1 2 3 6 13 26 39 78 | |
| 167 | 78 78 | 156 | 1 2 3 4 6 12 13 26 39 52 78 156 | |
| 168 | 78 78 80 | 236 | 1 2 4 59 118 236 | |
| 169 | 78 78 80 80 | 316 | 1 2 4 79 158 316 | |
| 170 | 78 78 80 80 82 | 398 | 1 2 199 398 | |
| 171 | 26 | 78 78 80 80 82 88 | 486 | 1 2 3 6 9 18 27 54 81 162 243 486 |
| 172 | 78 78 80 80 82 88 94 | 580 | 1 2 4 5 10 20 29 58 116 145 290 580 | |
| 173 | 78 78 80 80 82 88 94 96 | 676 | 1 2 4 13 26 52 169 338 676 | |
| 174 | 78 78 80 80 82 88 94 96 108 | 784 | 1 2 4 7 8 14 16 28 49 56 98 112 196 392 784 | |
| 175 | 78 | 78 | 1 2 3 6 13 26 39 78 | |
| 176 | 78 80 | 158 | 1 2 79 158 | |
| 177 | 78 80 80 | 238 | 1 2 7 14 17 34 119 238 | |
| 178 | 78 80 80 82 | 320 | 1 2 4 5 8 10 16 20 32 40 64 80 160 320 | |
| 179 | 78 80 80 82 88 | 408 | 1 2 3 4 6 8 12 17 24 34 51 68 102 136 204 408 | |
| 180 | 78 80 80 82 88 94 | 502 | 1 2 251 502 | |
| 181 | 78 80 80 82 88 94 96 | 598 | 1 2 13 23 26 46 299 598 | |
| 182 | 78 80 80 82 88 94 96 108 | 706 | 1 2 353 706 | |
| 183 | 80 | 80 | 1 2 4 5 8 10 16 20 40 80 | |
| 184 | 80 80 | 160 | 1 2 4 5 8 10 16 20 32 40 80 160 | |
| 185 | 80 80 82 | 242 | 1 2 11 22 121 242 | |
| 186 | 80 80 82 88 | 330 | 1 2 3 5 6 10 11 15 22 30 33 55 66 110 165 330 | |
| 187 | 80 80 82 88 94 | 424 | 1 2 4 8 53 106 212 424 | |
| 188 | 80 80 82 88 94 96 | 520 | 1 2 4 5 8 10 13 20 26 40 52 65 104 130 260 520 | |
| 189 | 80 80 82 88 94 96 108 | 628 | 1 2 4 157 314 628 | |
| 190 | 80 | 80 | 1 2 4 5 8 10 16 20 40 80 | |
| 191 | 27 | 80 82 | 162 | 1 2 3 6 9 18 27 54 81 162 |
| 192 | 80 82 88 | 250 | 1 2 5 10 25 50 125 250 | |
| 193 | 80 82 88 94 | 344 | 1 2 4 8 43 86 172 344 | |
| 194 | 80 82 88 94 96 | 440 | 1 2 4 5 8 10 11 20 22 40 44 55 88 110 220 440 | |
| 195 | 80 82 88 94 96 108 | 548 | 1 2 4 137 274 548 | |
| 196 | 82 | 82 | 1 2 41 82 | |
| 197 | 82 88 | 170 | 1 2 5 10 17 34 85 170 | |
| 198 | 82 88 94 | 264 | 1 2 3 4 6 8 11 12 22 24 33 44 66 88 132 264 | |
| 199 | 28 | 82 88 94 96 | 360 | 1 2 3 4 5 6 8 9 10 12 15 18 20 24 30 36 40 45 60 72 90 120 180 360 |
| 200 | 29 | 82 88 94 96 108 | 468 | 1 2 3 4 6 9 12 13 18 26 36 39 52 78 117 156 234 468 |
| 201 | 88 | 88 | 1 2 4 8 11 22 44 88 | |
| 202 | 88 94 | 182 | 1 2 7 13 14 26 91 182 | |
| 203 | 88 94 96 | 278 | 1 2 139 278 | |
| 204 | 88 94 96 108 | 386 | 1 2 193 386 | |
| 205 | 94 | 94 | 1 2 47 94 | |
| 206 | 94 96 | 190 | 1 2 5 10 19 38 95 190 | |
| 207 | 94 96 108 | 298 | 1 2 149 298 | |
| 208 | 96 | 96 | 1 2 3 4 6 8 12 16 24 32 48 96 | |
| 209 | 96 108 | 204 | 1 2 3 4 6 12 17 34 51 68 102 204 | |
| 210 | 30 | 108 | 108 | 1 2 3 4 6 9 12 18 27 36 54 108 |